회귀분석 평가지표 정리해보기 (Metrics ; MAE, MAPE, MPE / MSE, RMSE, MSLE / R2 score)
MAE; Mean Absolute Error; 평균 절대 오차;
- 오차의 절대값. (선 단위)

MAPE; Mean Absolute Percentage Error; 평균 절대 비율(백분율) 오차;
- MAE지표를 백분율로 계산한 것이다.

MPE; Mean Percentage Error; 평균 비율(백분율) 오차;
- 절댓값을 빼고 계산하여 underperformance, overperformance인지 판단할 수 있다.

MSE; Mean Squared Error; 평균 제곱 오차;
- 오차의 제곱 (면적 단위).
- 값이 큰 오차일수록 훨씬 더 가중되어 오차가 커지고, 1미만의 오차는 더 오차가 작아진다.

RMSE; Root Mean Squared Error; 평균 제곱 오차;
- 오차의 제곱의 제곱근.
- 값이 클수록 오차가 가중되는 MSE의 특성을 보완한다.

MSLE; Mean Squared Log Error; 평균 제곱 로그 오차;
- MSE에 log를 취해준 값.
- 값이 클수록 오차가 가중되는 MSE의 특성을 보완한다.

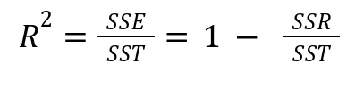
R^2 score; R-squared; 결정계수 = the coefficient of determination
- 절대적인 차이를 비교하는 다른 지표들과 달리 상대적인 값으로 오차 산출한다.
- 실제값의 분산 ~ 예측값의 분산에 대한 비율을 의미한다.
- 1에 가까울수록 좋은 것이다.

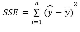
- SSE; Explained Sum of Squares = SSR; Sum of Squares Regression

- SSE; Sum of Squared estimate of Errors = RSS; Residual Sum of Squares = SSR; the sum of squared residual
(흔히 우리가 말하는 잔차. 엡실론 기호를 사용한다.)

- SST; Total Sum of Squares = Total SS = SSE(Explained Sum of Squares) + SSR(Residual Sum of Squares)
(총 변동 = 설명된 변동 + 설명안된 변동)

- justicen님의 글을 참고하였습니다.
