* 집합 = S
* S에 속해있는 벡터 = Vi
* 선형결합을 위해 곱해주는 scalar값들의 모임 = Ci
* Vi의 차원 수 = n
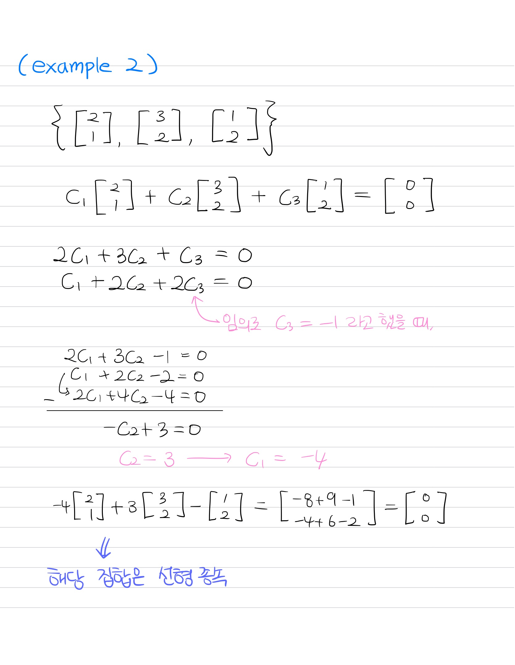
집합 S의 벡터들이 선형종속인지, 독립인지는 S 안의 벡터들의 선형결합이 0이 될 때, Ci(상수)값들이 어떤지에 따라 알 수 있다.
S의 벡터들이 선형 종속이라면,
- Ci중에 모두 0이 아니거나 0이 아닌 수가 최소 1개 이상이다.
Ci중에서 모두 0이 아니거나 0이 아닌 수가 최소 1개 이상있다면,
- S의 벡터들은 선형 종속이다.
Ci가 모두 0이라면 (또는) Span(S) = R^n 을 만족한다면,
- S의 벡터들은 선형 독립이다.
S의 벡터들이 선형 독립이라면,
- Ci가 모두 0이다.
- Span(S) = R^n 를 만족한다.





'Mathematics > Linear Algebra' 카테고리의 다른 글
| [칸아카데미] 모두를 위한 선형대수학 - (7) 부분공간의 기저(a basis of subspace) (2) | 2022.09.18 |
|---|---|
| [칸아카데미] 모두를 위한 선형대수학 - (6) 선형의 부분공간 (subspace) (0) | 2022.09.07 |
| [칸아카데미] 모두를 위한 선형대수학 - (4) 선형종속과 선형독립 (0) | 2022.08.31 |
| [칸아카데미] 모두를 위한 선형대수학 - (3) 선형결합과 생성 (Linear Combination & Span) (0) | 2022.08.27 |
| [칸아카데미] 모두를 위한 선형대수학 - (2) 벡터의 뺄셈, 단위 벡터, 직선의 매개변수 표현 정의 및 퀴즈 (0) | 2022.08.26 |