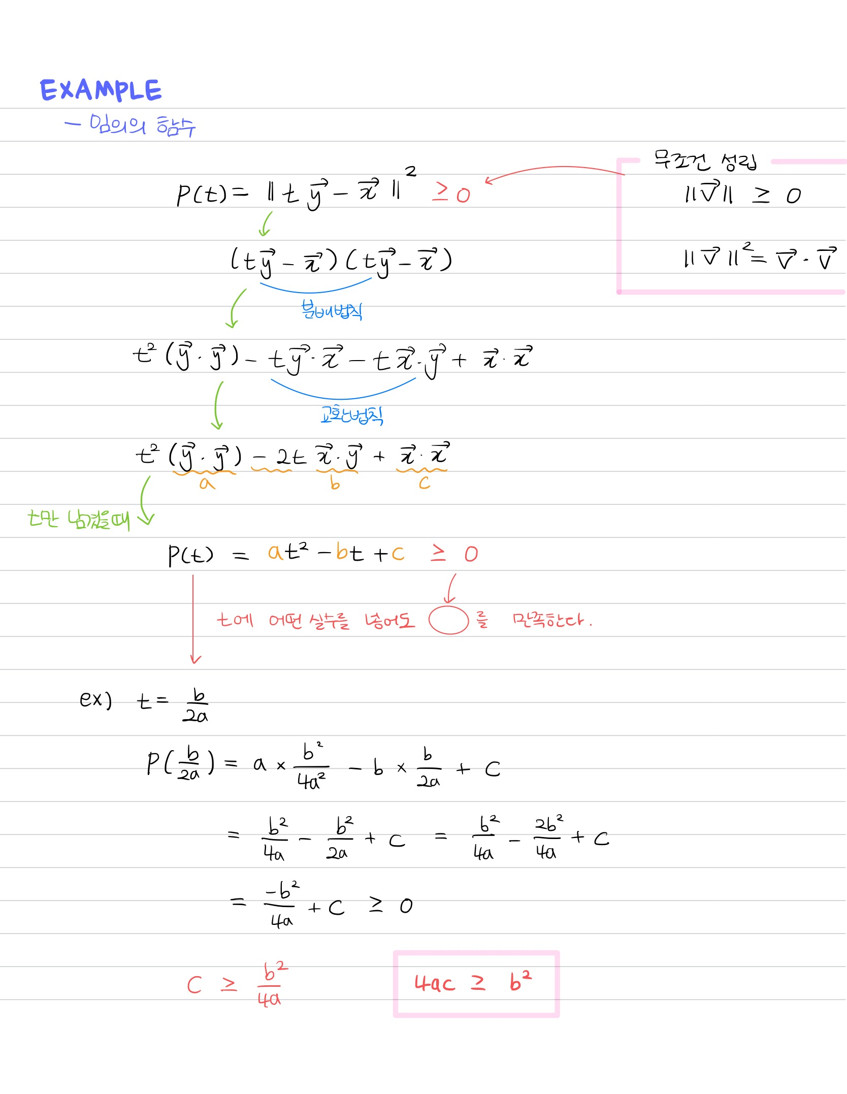
※ 코시-슈바르츠 부등식 (3가지 포인트)
1) 실수좌표평면에 영벡터가 아닌 x벡터와 y벡터가 있다고 가정하고
2) [x벡터와 y벡터의 내적의 절대값]은 [x벡터의 길이와 y벡터의 길이의 곱]보다 항상 작거나 같다.
3) [x벡터와 y벡터의 내적의 절대값]과 [x벡터의 길이와 y벡터의 길이의 곱]이 같을 경우 = x벡터는 y벡터의 상수배이다.

증명하는 방법 ↓


'Mathematics > Linear Algebra' 카테고리의 다른 글
| [칸아카데미] 모두를 위한 선형대수학 - (11) 벡터 사이의 각 정의하기 (0) | 2022.10.14 |
|---|---|
| [칸아카데미] 모두를 위한 선형대수학 - (10) 삼각부등식(Triangle Inequality) (0) | 2022.10.03 |
| [칸아카데미] 모두를 위한 선형대수학 - (8) 벡터의 내적(Dot product)과 벡터의 길이(Length), 내적의 성질 (분배법칙, 교환법칙, 결합법칙) (0) | 2022.09.20 |
| [칸아카데미] 모두를 위한 선형대수학 - (7) 부분공간의 기저(a basis of subspace) (2) | 2022.09.18 |
| [칸아카데미] 모두를 위한 선형대수학 - (6) 선형의 부분공간 (subspace) (0) | 2022.09.07 |